Motor-CAD calculates eddy currents in conductive components such as permanent magnets, rotor sleeves, banding, and shafts using the magnetic diffusion equation within its 2D electromagnetic transient solver.
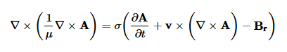
A. Magnetic Diffusion EquationIn Motor-CAD’s electromagnetic field formulation, eddy-current-carrying regions are governed by the magnetic diffusion equation:

where:
| 
 Symbol  | 
 Description  | 
| 
 𝐀  | 
 Magnetic vector potential (B=∇×A𝐁=∇×𝐀)  | 
| 
 𝜇  | 
 Magnetic permeability  | 
| 
 𝜎  | 
 Electrical conductivity  | 
| 
 𝐯  | 
 Local linear velocity (v=ω×r𝐯=𝝎×𝐫)  | 
| 
 𝐁𝐫  | 
 Remanent flux density (non-zero for PMs, zero for unmagnetized metals)  | 
- The motion-induced term σ(v×∇×A)𝜎(𝐯×∇×𝐀) applies only to rotating components (e.g., the rotor).
 - For stationary conductive parts (e.g., the stator), this term is omitted.
B. Induced Current Density and Eddy-Current Losses 
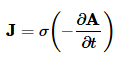
From the time-varying magnetic vector potential, the induced current density is given by:
J=σ(−∂A∂t)𝐉=𝜎(−∂𝐀∂t)

The corresponding eddy-current power loss density (power dissipated per unit volume) is:

Motor-CAD’s transient electromagnetic solver enforces the zero-net-current condition for each conductive region:

This ensures physical current continuity—particularly important for circumferentially segmented magnets, where localized eddy loops must sum to zero across the entire segment.
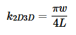
C. 2D-to-3D Correction Factors
Because Motor-CAD’s electromagnetic model is two-dimensional, axial effects are incorporated through an empirical 2D–3D correction factor, k2D3Dk2D3D. Three methods are available depending on the operating frequency and magnet dimensions:
1. Ruoho Method — Low-Frequency Validity

Used when the magnet width w is smaller than the skin depth  δ. 
Applicable for low-frequency operation. 
2. Wakao–Fujiwara Method — High-Frequency Validity

Used when w>δ, i.e., high-frequency conditions.
Here, the skin depth is calculated as:

3. Hybrid Method —Full-Frequency Range
Motor-CAD automatically transitions between Ruoho and Wakao–Fujiwara methods based on the ratio w/δ, ensuring accuracy across both low and high frequency regimes.
Notes:
- For V-shaped magnets, use the width of the magnet layer closest to the rotor surface (highest eddy-current loss region).
 
- For U-shaped magnets, use the average magnet width.
 
Motor-CAD applies the same Ruoho-based correction to compute losses in rotor banding and stator sleeves:
| 
 Component  | 
 Width (w)  | 
 Axial Length (L)  | 
| 
 Rotor banding  | 
 Pole width  | 
 Magnet axial segment length  | 
| 
 Stator sleeve  | 
 Pole width  | 
 k×Lstator+Lend overhang  | 
where k is the sleeve axial length multiplier.
References
- Ruoho et al., “Modeling Magnet Length in 2-D Finite-Element Analysis of Electric Machines,” IEEE Transactions on Magnetics, 2009.
 
- S. Wakao et al., “Useful Formulas of Analytical Investigation in Electromagnetic Field Computation (Part 6),” IEE Japan, 2005.